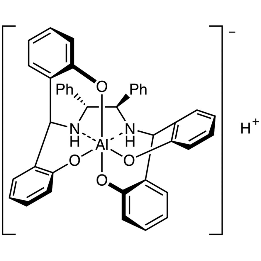
(R,R)-CASA-H

Synonyms:
  • Hydrogen [2,2',2'',2'''-[[(1R,2R)-1,2-Diphenyl-1,2-ethanediyl]bis[[(S)-imino-κN]methylidyne]]tetrakis(phenolato-κO)]aluminate
Ürün Numarası C3580
Moleküler Formül / Moleküler Ağırlık C__4__0H__3__3AlN__2O__4 = 632.70  
Fiziksel Durum(20 deg.C) Katı
Store Under Inert Gas Store under inert gas
Condition to Avoid Moisture Sensitive
CAS No 1819341-33-7
Reaxys Registry Number 30926678
Özellikler
Görünüm White to Almost white powder to crystal
Saflık(Chelometric Titration) min. 95.0 %
Suitability for NMR-analysis Effective as chiral shift reagent for 1-Phenylethylamine
Özellikler (reference)
Bu ürüne ilk yorumu siz yapın!
Bu ürünün fiyat bilgisi, resim, ürün açıklamalarında ve diğer konularda yetersiz gördüğünüz noktaları öneri formunu kullanarak tarafımıza iletebilirsiniz.
Görüş ve önerileriniz için teşekkür ederiz.
(R,R)-CASA-H - CAS 1819341-33-7 (R,R)-CASA-H - CAS 1819341-33-7, TCI Chemicals C3580
(R,R)-CASA-H  - CAS 1819341-33-7

Tavsiye Et

*
*
*
IdeaSoft® | Akıllı E-Ticaret paketleri ile hazırlanmıştır.